密码学
First Post:
Last Update:
Word Count:
Read Time:
Page View: loading...
Last Update:
Word Count:
605
Read Time:
2 min
Page View: loading...
密码学
密码学算法与原理
1 绪论
2 密码学基础 P28
密码学(cryptology)是数学的一个分支,是密码编程学和密码分析学的统称。或许与作灶的密码实践起源于古希腊有关
通过变换消息使其保密的科学和艺术叫做密码编程学,密码编程学是密码体制的设计学。
密码分析学就是破译密文的科学和艺术。在未知密钥的情况下从密文推演出明文或密钥的艺术。
3 古典密码
3.1 隐写术
两种隐藏明文信息的方法:隐写术(隐藏消息本身的存在)和密码编程学(通过各种文本转换的方法是消息内容不可理解)
3.2 代替
代替密码体制

代替密码的实现方法分类
单表代替密码
对于明文中的所有字母都使用同一个映射,为保证加密的可逆性,映射 f 是一一映射的。
1)使用密钥的单表代替加密

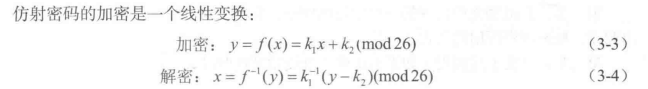
2)仿射加密

-1 表示“逆”

频率分析攻击

基于某种语言中各个字符出现的频率不一样,表现出一定的统计规律。

多表代替密码

1)Playfair 密码

2) Vigenere 密码



3)Hill 密码





3.3 换位


4 密码学数学引论
4.1 数论
素数
1)除数

5 对称密码体制
5.1 分组密码
概述





原理

扩散


混乱

乘积密码

SP 网络






雪崩效应


Lucifer 算法




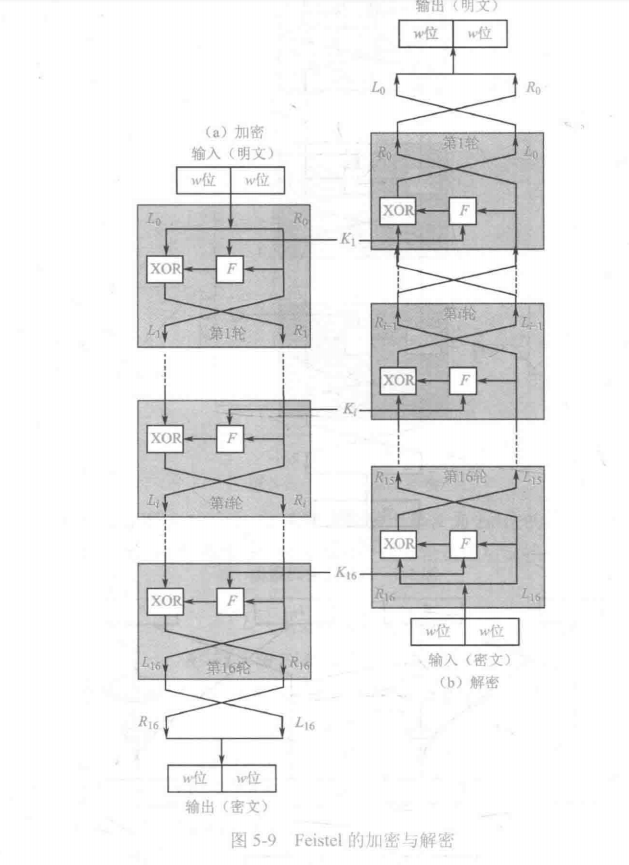
现代分组密码都属于乘积密码,分为两种类型。第一类同时使用了可逆和不可逆的基本变换部位,这一类被称为 Feistel 密码,DES 是这一类典型密码算法。第二类只使用了可逆的基本变换部位,和一类被称为非 Feistel 密码,AES 是这一类的典型密码算法。
Feistel 密码结构:






分组密码的设计准则
S 盒的设计准则


P 盒的设计准则

轮函数 F 的设计准则

迭代轮数

子密钥的生成方法


分组密码的工作模式
电子密码本模式 ECB



密码分组链接模式(CBC)


计数器模式(CTR)



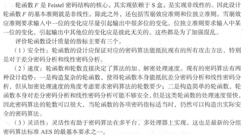
输出反馈模式(OFB)




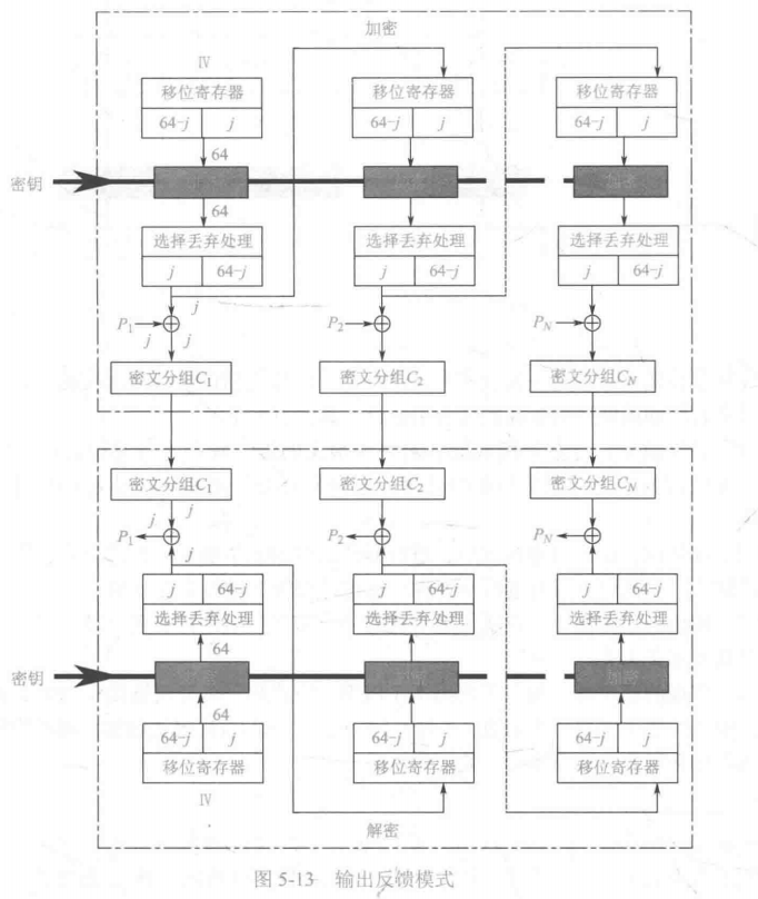
密码反馈模式(CFB)




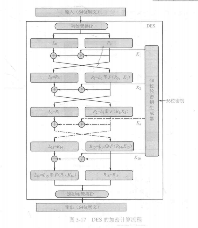
5.2 数据加密标准(DES)
DES 概述






DES 加密原理








